💡 이진트리 순회(DFS : 깊이우선탐색, Depth-First Search)
2022. 4. 20. 00:38ㆍ코딩 테스트(JAVA)/인프런 문제풀이
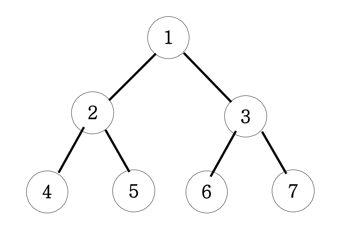
이진트리 순회(깊이우선탐색) 아래 그림과 같은 이진트리를 전위순회와 후위순회를 연습해보세요.

[[ 코딩 인터뷰 : 00순회 출력을 숫자로 써서 표현해보세요. ]]
전위순회 출력 : 1 2 4 5 3 6 7
부모 → 왼쪽 자식 → 오른쪽 자식
중위순회 출력 : 4 2 5 1 6 3 7
왼쪽 자식 → 부모 → 오른쪽 자식
후위순회 출력 : 4 5 2 6 7 3 1
왼쪽 자식 → 오른쪽 자식 → 부모
이를 코드로 표현해보겠습니다.
import java.util.*;
class Node{
int data;
// 인스턴스 변수, Node객체의 주소를 저장하는 변수이므로 클래스형(Node형)으로 만듦
Node lt, rt;
public Node(int val) {
data=val;
// 객체 생성시 null값
lt=rt=null;
}
}
public class Main{
// 참조형, Node클래스의 객체 주소를 저장하는 인스턴스 변수
Node root;
public void DFS(Node root){ // root : 1번 data를 가지고 있는 노드
if(root==null) // 말단 노드로 온 것이므로 종료함
return;
else{ // 두 번 뻗어야 하므로 함수 호출도 두 번
// System.out.print(root.data+" "); 전위순회
DFS(root.lt);
// System.out.print(root.data+" "); 중위순회
DFS(root.rt);
// System.out.print(root.data+" "); 후위순회
}
}
public static void main(String args[]) {
Main tree=new Main();
tree.root=new Node(1);
tree.root.lt=new Node(2);
tree.root.rt=new Node(3);
tree.root.lt.lt=new Node(4);
tree.root.lt.rt=new Node(5);
tree.root.rt.lt=new Node(6);
tree.root.rt.rt=new Node(7);
tree.DFS(tree.root);
}
}
+ 추가로 보면 좋은 영상
https://www.youtube.com/watch?v=9ZZbA2iPjtM
'코딩 테스트(JAVA) > 인프런 문제풀이' 카테고리의 다른 글
| 이진수 출력 (0) | 2022.04.21 |
|---|---|
| 재귀함수(스택프레임) (0) | 2022.04.21 |
| 원더랜드(최소스패닝트리 : 프림, PriorityQueue) (0) | 2022.04.08 |
| 원더랜드(최소스패닝트리 문제 - 크루스칼 알고리즘) (0) | 2022.03.31 |
| 친구인가? (Disjoint-Set : Union&Find) (0) | 2022.03.29 |