코딩 테스트(JAVA)/인프런 문제풀이
💡 이진트리 순회(BFS: Breadth-First Search, 넓이우선탐색, 레벨탐색)
Lea Hwang
2022. 4. 24. 23:19
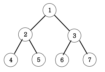
아래 그림과 같은 이진트리를 레벨탐색 연습하세요.

레벨 탐색 순회 출력 : 1 2 3 4 5 6 7
문제 분석
BFS는 최단거리탐색에 쓰입니다.
큐를 사용합니다.
루트 - 레벨 0
루트에서 한 번만에 갈 수 있는 노드 - 레벨 1
루트에서 두 번만에 갈 수 있는 노드 - 레벨 2
...
레벨 0 다 탐색하고 레벨 1 다 탐색하고 레벨 2 다 탐색...
코드 구현
import java.util.*;
class Node{
int data;
Node lt, rt;
public Node(int val) {
data=val;
lt=rt=null;
}
}
public class Main{
Node root;
public void BFS(Node root){
// Node객체 저장하는 큐 선언
Queue<Node> Q=new LinkedList<>();
Q.add(root);
// L : Level
int L=0;
while(!Q.isEmpty()){
// Q에 원소가 몇 개 들어가 있는가
int len = Q.size();
//System.out.print(L+" : ");
for(int i=0; i<len; i++){
// Node형
Node cur = Q.poll();
// 한 레벨의 원소 출력 후
System.out.print(cur.data+" ");
// 자식을 Q에 넣음, cur:현재노드, if(cur.lt!=null):말단 노드 거르기 위함
if(cur.lt!=null) Q.add(cur.lt);
if(cur.rt!=null) Q.add(cur.rt);
}
// 레벨이 끝난 것이므로 ++
L++;
// 줄바꿈
System.out.println();
}
}
public static void main(String args[]) {
Main tree=new Main();
tree.root=new Node(1);
tree.root.lt=new Node(2);
tree.root.rt=new Node(3);
tree.root.lt.lt=new Node(4);
tree.root.lt.rt=new Node(5);
tree.root.rt.lt=new Node(6);
tree.root.rt.rt=new Node(7);
tree.BFS(tree.root);
}
}
특히 레벨을 이용해서 방문하는 방법을 잘 알아두어야 합니다.